Yuk Simak Contoh Surat Berita Acara Selisih Uang [Terlengkap]
Inilah contoh surat berita acara selisih uang Inilah pembahasan selengkapnya mengenai contoh surat berita acara serah terima uang. Admin blog Contoh Soal Terbaru 01 January 2019 juga mengumpulkan. Contoh Surat Berita Acara Peminjaman Uang have a graphic associated with the. Simak juga tentang berita dan contoh surat berita acara selisih uang Contoh Berita Acara Serah Terima Uang Arisan Qurban Dan Uang Uang Lainnya Macam Macam Istilah.
Sebelum kami membahas tentang contoh surat berita acara kami ingin membahas sesikit pengertian berita acara. Beberapa Contoh Surat Berita Acara Peminjaman Uang yang Baik dan Benar 2019.
Contoh Surat Berita Acara Selisih Uang Contoh Surat Berita Acara Selisih Uang
Contoh Surat Berita Acara Selisih Uang Contoh Surat Berita Acara Selisih Uang |
| Lihat Contoh Surat Berita Acara Selisih Uang |
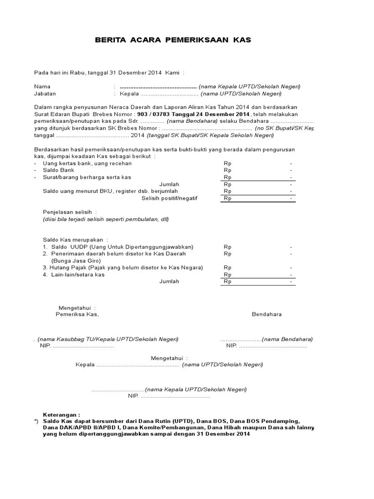
Berita Acara Pemeriksaan Kas Contoh Surat Berita Acara Selisih Uang
Berita Acara Pemeriksaan Kas Contoh Surat Berita Acara Selisih Uang |
| Lihat Berita Acara Pemeriksaan Kas |
15 Contoh Surat Berita Acara Untuk Berbagai Keperluan Contoh Surat Contoh Surat Berita Acara Selisih Uang
15 Contoh Surat Berita Acara Untuk Berbagai Keperluan Contoh Surat Contoh Surat Berita Acara Selisih Uang |
| Lihat 15 Contoh Surat Berita Acara Untuk Berbagai Keperluan Contoh Surat |

Contoh Surat Berita Acara Kesalahan Input Contoh Surat Contoh Surat Berita Acara Selisih Uang
Contoh Surat Berita Acara Kesalahan Input Contoh Surat Contoh Surat Berita Acara Selisih Uang |
| Lihat Contoh Surat Berita Acara Kesalahan Input Contoh Surat |

Berita Acara Cash Opname Pdf Contoh Surat Berita Acara Selisih Uang
Berita Acara Cash Opname Pdf Contoh Surat Berita Acara Selisih Uang |
| Lihat Berita Acara Cash Opname Pdf |
Doc Berita Acara Pemeriksaan Kas Regiter Dan Penutupan Kas Atharuddin Ssos Academia Edu Contoh Surat Berita Acara Selisih Uang
Doc Berita Acara Pemeriksaan Kas Regiter Dan Penutupan Kas Atharuddin Ssos Academia Edu Contoh Surat Berita Acara Selisih Uang |
| Lihat Doc Berita Acara Pemeriksaan Kas Regiter Dan Penutupan Kas Atharuddin Ssos Academia Edu |
![]()
Ba Keadaan Kas Diatas 50jt Pdf Contoh Surat Berita Acara Selisih Uang
Ba Keadaan Kas Diatas 50jt Pdf Contoh Surat Berita Acara Selisih Uang |
| Lihat Ba Keadaan Kas Diatas 50jt Pdf |
Berita Acara Pemeriksaan Kas Contoh Surat Berita Acara Selisih Uang
Berita Acara Pemeriksaan Kas Contoh Surat Berita Acara Selisih Uang |
| Lihat Berita Acara Pemeriksaan Kas |

Ba Kas Dan Persediaan Upload Pdf Contoh Surat Berita Acara Selisih Uang
Ba Kas Dan Persediaan Upload Pdf Contoh Surat Berita Acara Selisih Uang |
| Lihat Ba Kas Dan Persediaan Upload Pdf |
4 Contoh Surat Rekomendasi Internal Audit Surat Kuasa Surat Sekolah Contoh Surat Berita Acara Selisih Uang
4 Contoh Surat Rekomendasi Internal Audit Surat Kuasa Surat Sekolah Contoh Surat Berita Acara Selisih Uang |
| Lihat 4 Contoh Surat Rekomendasi Internal Audit Surat Kuasa Surat Sekolah |

Contoh Surat Berita Acara Stock Opname Contoh Surat Contoh Surat Berita Acara Selisih Uang
Contoh Surat Berita Acara Stock Opname Contoh Surat Contoh Surat Berita Acara Selisih Uang |
| Lihat Contoh Surat Berita Acara Stock Opname Contoh Surat |

Contoh Berita Acara Serah Terima Uang Arisan Qurban Dan Uang Uang Lainnya Macam Macam Istilah Contoh Surat Berita Acara Selisih Uang
Contoh Berita Acara Serah Terima Uang Arisan Qurban Dan Uang Uang Lainnya Macam Macam Istilah Contoh Surat Berita Acara Selisih Uang |
| Lihat Contoh Berita Acara Serah Terima Uang Arisan Qurban Dan Uang Uang Lainnya Macam Macam Istilah |
Demikianlah Referensi tentang contoh surat berita acara selisih uang, Ba kas dan persediaan upload pdf contoh surat perjanjian arisan yang sah dan benar detiklife ba keadaan kas diatas 50jt pdf 15 contoh surat berita acara untuk berbagai keperluan contoh surat s peraturan bpk go id home download 116494 lamp 20padang 20panjang perwako 20no 2036 20th 202019 pdf berita acara cash opname pdf contoh surat perjanjian arisan yang sah dan benar detiklife berita acara pemeriksaan kas, semoga membantu.
Posting Komentar
Posting Komentar